bellbet贝博艾弗森官方网站
首页
bellbet官网
学院简介
历史沿革
现任领导
机构设置
联系电话
院风、院训、院徽
师资队伍
院士风采
教授名录
系室分类
招聘信息
党务工作
组织建设
学习园地
师德师风
学科建设
学科概况
重点学科
学科人物(更新中)
5+X工程介绍
科学研究
科研概况
科研方向
科研成果
科研机构
本科生培养
专业介绍
教学研究
实践创新
课堂内外
研究生教育
学位介绍
导师信息
研究生招生
信息公告
学生工作
校园文化
思想教育
实践创新
资助工作
学生组织
继续教育
成人教育
国培计划
招生就业
本科生招生
继续教育招生
就业信息
规章制度
研究生规章制度
本科生管理制度
学院管理制度
English
活动公告
活动公告
办公系统
创新中心
科研系统
教务系统
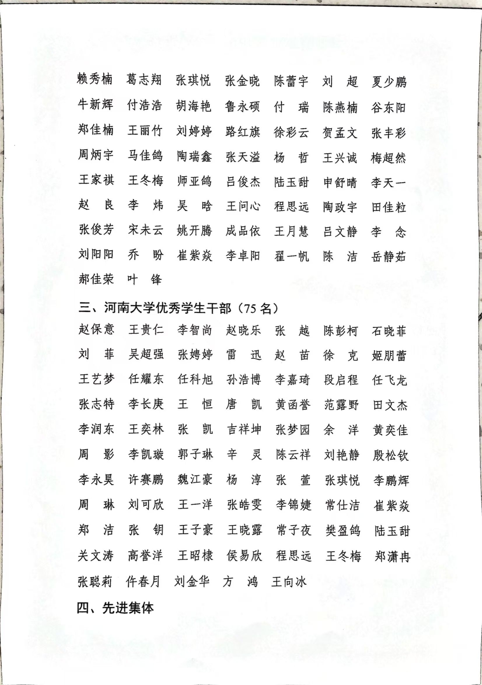
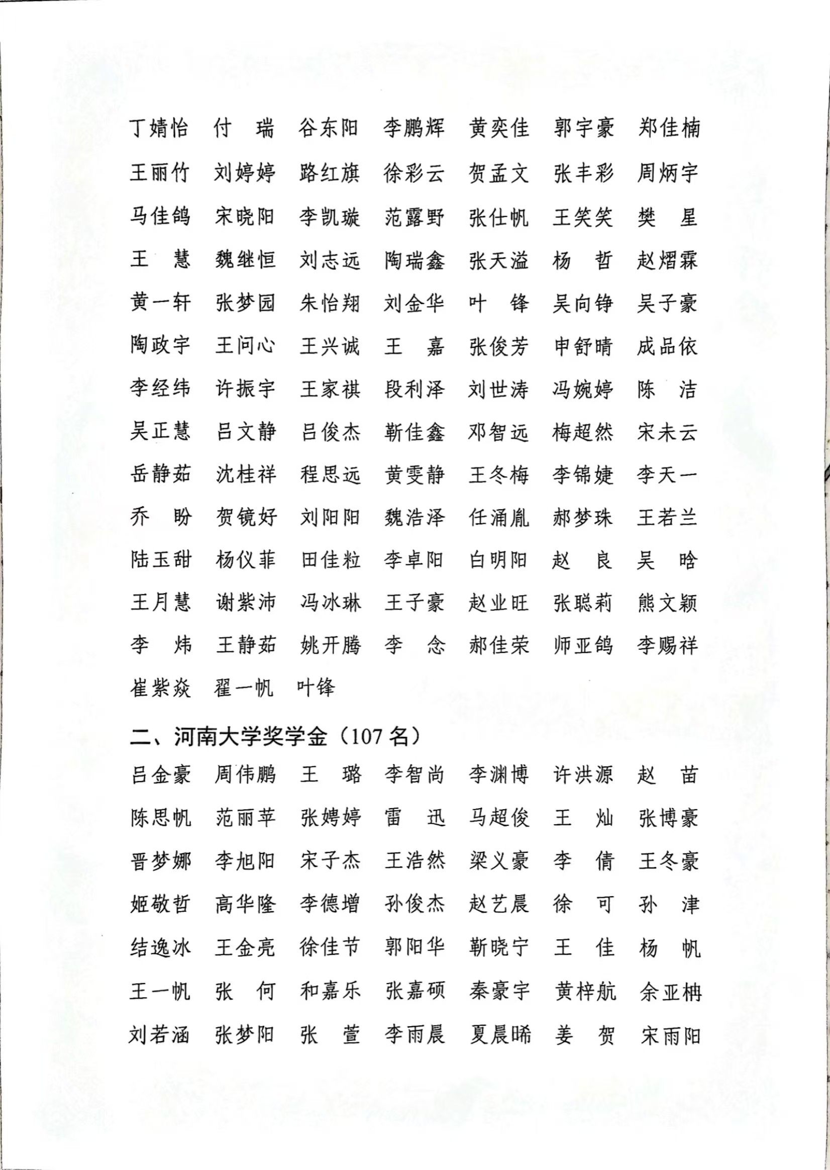
bellbet贝博艾弗森官方网站2023-2024学年本科生评先奖优拟获奖个人、集体公示名单
上一篇:
没有了!
下一篇:
bellbet贝博艾弗森官方网站国家奖学金和国家励志奖学金增补调整结果公示